1phasig Überschussladen - Maxleistung
|
|
||
|
etwa 10m kabelweg - 5x2,5mm2 - 16A überhaupt kein Problem |
||
|
||
|
ebenso, full Power :) |
||
|
||
|
nur zur sicherheit: dir ist schon klar das 16A dreiphasig auch 16A pro phase "verursacht"? vielen ist nicht klar das ein e auto keinen drehstom nutzt sondern einfach 1-3 phasen parallel nützt. sprich man hat einfach 1-3 einzelnen "ladegeräte" aber das war ja nicht deine eigentlich frage...ich wollte das hier nur ergänzen.... |
||
|
|
||
|
||
|
Durch die Magie des Drehstroms aber nur 50% mehr Leitungsverluste 😃 Wo siehst du da den Unterschied? 🤔 |
||
|
||
|
Ja um es magisch zu formulieren den Nulleiter braucht man nicht wenn man L1-L3 exakt gleich belastet, also wenn L1 bis L3 exakt mit 16 A belastet werden dann ist der Strom beim N Leiter genau 0A. Oder wie es ein Eli formuliert hat wenn du alle 3 L ordentlich (ohmisch) belastest, dann überlastest du den N Leiter. (Achtung nicht alles glauben was eine Fachkraft sagt) |
||
|
||
|
Ein Hoch auf die Phasenverschiebung 🤩 |
||
|
||
|
Vielleicht noch wichtig zu sagen für andere Mitleser, die meisten E-Autos können sogar 32A (1-phasig, 7,4kW) und das wäre tatsächlich zu viel für 2,5mm2, aber das kann der Wattpilot nicht, wobei eine Leitung sollte gar nicht über lastet werden, wenn richtig abgesichert. Und eigentlich ist es vom Netzbetreiber nicht erlaubt, obwohl beim Überschussladen eigentlich wurscht. |
||
|
||
|
Mir geht's darum das viele "kraftstrom " - "starkstrom " (was es gar nicht gibt) - Stecker als etwas grundsätzlich anderes interpretieren als die "haushaltssteckdose" . Und ich wollte verdeutlichen das eine 3ph 16A wallbox einfach als drei parallele "haushaltssteckdosen" zu sehen ist . Da läuft nicht mehr oder weniger drüber . Und eine wallbox hat auch nichts mit 3ph drehstrom zu tun wo eben anstatt 230V - 400V ins Spiel kommen . 16A sind halt einfach 16A egal wieviel Phasen. |
||
|
||
|
Auch beim Überschussladen nicht wurscht: Es gilt eine Schieflast zwischen den Phasen zu vermeiden. Die meisten WRs teilen die Leistung gleichmäßig auf die Phasen auf. Saldierend schauts also vielleicht gut aus, aber zwischen den Phasen kommt man vielleicht auf die >=16A Differenz. Manche WRs können auch asymmetrisch aufteilen, ist aber eher die Ausnahme und hat auch mehr Verluste. ... wie der Netzbetreiber den Verursacher einer Schieflast ausfindig machen würde weiss ich nicht. Soweit ich weiss werden Leistungsdaten über die einzelnen Phasen nicht per Smartmeter übertragen. |
||
|
||
|
Mit Wurscht habe ich folgendes gemeint: Überschussladen reduziert die Belastung auf der einen Phase, aber ja reduziert die Schieflast sebst nicht. Bei mir herrscht eigentlich auch fast immer Schieflage, weil die WP WP [Wärmepumpe] und viele Haushaltsgeräte auf Phase 1 laufen, werde wohl Phase 2 oder 3 fürs 1-phasige laden nutzen. Schieflast (durch mehrere Geräte) ist prinzipiell nicht verboten, dadurch auch schwer zu erkennen obs ein oder mehrere Geräte sind. Das Problem mit 32A 1-phasig ist eher wenn da zwei oder mehr solcher Geräte auf einer Phase hängen. |
||
|
||
|
Ich hab einen Victron 1-phasig netzparallel, und da darf ich nie mehr als 3,68 kVA rüberschicken (Schieflastbegrenzung). Ist das wirklich so? Denn dann müssten diese BEVBEV [Battery Electric Vehicle, Elektroauto] ja auch locker 22kW AC Ladeleistung können, was aber meines bescheidenen Wissens nach nur sehr wenige können (der Renault Zoe z.B.). Oder werden mit 7,4kW nicht vielleicht doch 2 Phasen gemeint sein? |
||
|
||
|
Ja die Welt ist Einphasig, 3Ph haben eher nur große Firmen (Ausgenommen paar europäische Länder) soweit ich es noch in Erinnerung habe können manche Teslamodelle sogar noch mehr (Ich glaube es waren 40A). Soweit ich weiß, werden die intern zusammengeschaltet, was auch der Grund für die Ladeunterbrechung bei der Umschaltung von 3 Ph auf 1Ph ist. Desweiters ist dies die Motivation trotzdem 1Ph/32A zum Überschussladen zu nutzen, um ohne Ladeunterbrechung zwischen 1,4kW und 7,4kW zu regeln. Sollen ja schon manche E-Autos abgeraucht sein durchs häufige Umshcalten zwischen 3 Ph und 1 Ph. |
||
|
||
|
es gibt da eine Ladeverlustanalyse von einem italienichen Professor für den ZOE R110, sowohl einphasig, als auch 3phasig bis 32A (2phasig kann der ZOE gar nicht). Und beim Q210 würde mich nicht wundern, wenn DER sogar mehr kann - 3phasig lädt er mit bis zu 63A. |
||
|
||
|
Die wenigsten Ladeverluste hätte man, wenn man daheim immer mit der max. Leistung lädt (siehe ADAC Test: https://www.adac.de/rund-ums-fahrzeug/elektromobilitaet/laden/ladeverluste-elektroauto-studie/ ). Macht aber nur Sinn, wenn man keine PV hat (Stichwort Überschußladen), oder wie bei mir im Winter. Lade da trotz Fixtarif immer netzdienlich in der Nacht mit 16A. |
||
|
||
|
Und keine Leistungsmessung! |
||
|
||
|
Nein, eine Phase mit 32A. Aber bei den 3 internen Ladegeräten für 3~ 11kW werden 2 gebrückt, daher der Strom aufgeteilt. Bei 1ph auf 3ph Umschaltung der Wallbox, ohne Unterbrechung der Ladung dazwischen, hat es dann bei den ersten Softwareständen mancher Konas/Kias gekracht. Es gibt nämlich in der Wallbox-Auto Kommunikation keinen Pin oder PWM Signal dafür. Bei Ladebeginn schaut das Auto was anliegt und startet danach seine Ladegeräte entsprechend. |
||
|
||
|
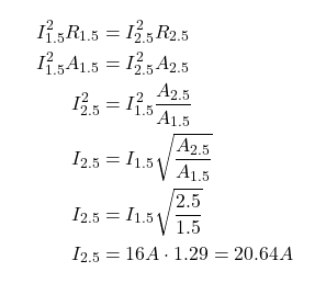
Vielleicht mal zurück zur Ausgangsfrage. Grundsätzlich ist gegen 16A auf 1.5mm² nichts einzuwänden (bei gedämmten Einbau auch mal nur 13A), nicht alle TAEVs sagen da das Selbe. Ausgehend von der gleichen Verlustleistung auf einer definierten Länge folgt: Bis 20A ist also alles thermisch im grünen Bereich (bei gedämmter Verlegung also gut 16A). Das Kriterium Spannungsabfall ist unkritischer, weil es direkt proportional 2.5/1.5=1.667 ist. |
Beitrag schreiben / Werbung ausblenden?
Einloggen
Kostenlos registrieren [Mehr Infos]

